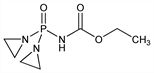
9872. Uredepa

Nomenclature

CAS number: 302-49-8
[Bis(1-aziridinyl)phosphinyl]carbamic acid ethyl ester; ethyl [bis(1-aziridinyl)phosphinyl]carbamate; ethyl N-[bis(ethyleneimido)phosphoro]carbamate; bis(ethylenimido)phosphorylurethane; urethimine; AB-100; NSC-37095; Avinar (Armour Pharm.).
C7H14N3O3P; mol wt 219.18.
C 38.36%, H 6.44%, N 19.17%, O 21.90%, P 14.13%.

Description and references

Outline of prepn: Bardos et al., Nature 183, 399 (1959); Bardos, Papanastassiou, US 3201313 (1965 to Armour Pharm.).

Chemical structure

Properties

Crystals from benzene + cyclohexane, mp 88-90°. Readily sol in water but dec in aq soln.

Use

Has been used experimentally as an insect chemosterilant.

Therapeutic Category

Antineoplastic.

Keywords

Antineoplastic; Alkylating Agents; Aziridines