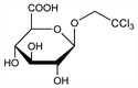
9884. Urochloralic Acid

Nomenclature

CAS number: 97-25-6
2,2,2-Trichloroethyl β-d-glucopyranosiduronic acid; 2,2,2-trichloroethyl β-d-glucosiduronic acid; β,β,β-trichloroethyl-d-glucuronide.
C8H11Cl3O7; mol wt 325.53.
C 29.52%, H 3.41%, Cl 32.67%, O 34.40%.

Description and references

Isolated from urine of man and dog after ingestion of chloral hydrate: von Mering, Musculus, Ber. 8, 663 (1875); from urine of calves fed trichloroethylene: Seto, Schultze, J. Am. Chem. Soc. 78, 1616 (1956).

Chemical structure

Properties

Needles, mp 142°. [α]D27 50.0° (c = 0.7). Freely soluble in water, alcohol. One gram dissolves in 234 ml of anhydr ether at 20°.