9897. Uzarin

Nomenclature

CAS number: 20231-81-6
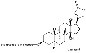
(3β,5α)-3-[(2-O-β-d-Glucopyranosyl-β-d-glucopyranosyl)oxy]-14-hydroxycard-20(22)-enolide.
C35H54O14; mol wt 698.79.
C 60.16%, H 7.79%, O 32.05%.

Description and references

Isoln from the dried root of a Gomphocarpus sp, Asclepiadaceae: Windaus, Haack, Ber. 63, 1377 (1930); Tschesche, Brathge, ibid. 85, 1042 (1952); Schmid et al., Helv. Chim. Acta 42, 72 (1959). Yields uzarigenin by enzymic cleavage. Structure: Tschesche, Bohle, Ber. 68, 2252 (1935). Structure of uzarigenin: Rangaswami, Reichstein, Helv. Chim. Acta 32, 939 (1949); Russel et al., ibid. 44, 1320 (1961). Unlike all other known cardiac glycosides, has the A/B-trans configuration: L. F. Fieser, M. Fieser, Steroids (Reinhold, New York, 1959) pp 762-763. Review: Heusser, Fortschr. Chem. Org. Naturst. 7, 101 (1950).

Chemical structure

Properties

Prisms from pyridine + water, mp 266-270°; stout needles from methanol + ether, mp 206-208°. [α]D20 27° (c = 1.075 in pyridine); [α]D19 1.4° (c = 0.85 in methanol). uv max: 217 nm (log ε 4.23). Sol in pyridine, hot methyl Cellosolve; sparingly sol in water. Practically insol in ether, chloroform, acetone.

Derivative

Uzarigenin.

Nomenclature

CAS number: 466-09-1
(3β,5α)-3,14-Dihydroxycard-20(22)-enolide; odorigenin.
C23H34O4; mol wt 374.51.
C 73.76%, H 9.15%, O 17.09%.

Description and references

Synthesis: Stache et al., Ann. 726, 136 (1969); Kamano et al., J. Org. Chem. 39, 2319 (1974); eidem, J. Chem. Soc. Perkin Trans. 1 1975, 1972.

Properties

Crystals from methanol, mp 240-256°. [α]D20 +10.5° (c = 1.056 in alc).

Derivative

3-O-Acetyluzarigenin.
C25H36O5; mol wt 416.55.
C 72.08%, H 8.71%, O 19.20%.

Properties

Hexagonal plates from methanol, mp 262-266°. [α]D22 +4.6° (c = 1.09 in chloroform).

Therapeutic Category

Antidiarrheal.

Keywords

Antidiarrheal