9908. Validamycins

Description and references

Antibiotic complex produced by Streptomyces hygroscopicus var limoneus. Consists of validamycins A (major component), B, C, D, E, and F. Isoln, characterization, and biological properties of validamycins A and B: Iwasa et al., J. Antibiot. 24, 107, 119 (1971). Isoln and characterization of validamycins C, D, E, F: Horii et al., ibid. 25, 48 (1972). Manuf: Horii et al., JP 72 39697 (1972 to Takeda), C.A. 78, 122657a (1973). Structure of validamycin A: Horii, Kameda, Chem. Commun. 1972, 747; revised structure: T. Suami et al., J. Antibiot. 33, 98 (1980). Bioassay methods: Iwasa et al., ibid. 24, 114 (1971). Total synthesis of (±)-validoxylamines A and B, constituents of validamycins: S. Ogawa et al., J. Org. Chem. 49, 2594 (1984). Total synthesis of validamycin B: S. Ogawa, Y. Miyamoto, Chem. Commun. 1987, 1843; of validamycin A: eidem, Chem. Lett. 1988, 889.

Chemical structure

Derivative

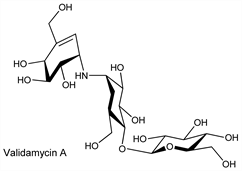
Validamycin A.

Nomenclature

CAS number: 37248-47-8
[1S-(1α,4α,5β,6α)]-1,5,6-Trideoxy-4-O-β-d-glucopyranosyl-5-(hydroxymethyl)-1-[[4,5,6-trihydroxy-3-(hydroxymethyl)-2-cyclohexen-1-yl]amino]-d-chiro-inositol; Validacin (Takeda); Valimon (Takeda).
C20H35NO13; mol wt 497.49.
C 48.29%, H 7.09%, N 2.82%, O 41.81%.

Properties

Colorless hydrophilic powder. Does not show sharp mp; softens at 100°, dec at 135°. [α]D24 +110° (c = 1 in water or pyridine), +92° (c = 1 in DMF). pKa 6.0. Sol in water, methanol, DMF, DMSO; sparingly sol in ethanol, acetone. Insol in ethyl acetate, diethyl ether.

Derivative

Hydrochloride.
C20H35NO13.HCl; mol wt 533.95.
C 44.99%, H 6.80%, N 2.62%, O 38.95%, Cl 6.64%.

Properties

Crystalline powder, mp 95° (dec). [α]D22 +49° (c = 1 in water). Sol in water, alcohols. Insol in acetone, diethyl ether.

Use

Fungicide.