9929. Vancomycin

Nomenclature

CAS number: 1404-90-6
C66H75Cl2N9O24; mol wt 1449.25.
C 54.70%, H 5.22%, Cl 4.89%, N 8.70%, O 26.50%.

Description and references

Amphoteric glycopeptide antibiotic produced by Streptomyces orientalis discovered in soil from Borneo. Inhibits bacterial cell wall synthesis by binding to peptidoglycan. Isoln: M. H. McCormick et al., Antibiot. Annu. 1955-56, 606; eidem, US 3067099 (1962 to Lilly). Pharmacology and toxicology: R. C. Anderson et al., Antibiot. Annu. 1956-57, 75. Purif: H. M. Higgins et al., ibid. 1957-58, 906. Structure studies: F. J. Marshall, J. Med. Chem. 8, 18 (1965); W. D. Weringa et al., J. Chem. Soc. Perkin Trans. 1 1972, 443; K. A. Smith et al., ibid. 1974, 2369. Total structure determination by x-ray analysis: G. M. Sheldrick et al., Nature 271, 223 (1978). Revised configuration: M. P. Williamson, D. H. Williams, J. Am. Chem. Soc. 103, 6580 (1981). Further revision of structure: C. M. Harris et al., ibid. 105, 6915 (1983). Total synthesis: K. C. Nicolaou et al., Angew. Chem. Int. Ed. 38, 240 (1999). Review of mechanism of action studies: H. P. Perkins, M. Nieto, Ann. N.Y. Acad. Sci. 235, 348-363 (1974). Series of articles on antimicrobial activity, pharmacokinetics and clinical usage: J. Antimicrob. Chemother. 14, Suppl. D, 1-109 (1984). HPLC determn in serum: L. Li et al., Ther. Drug Monit. 17, 366 (1995). CE determn in formulations: A. Musenga et al., J. Pharm. Biomed. Anal. 42, 32 (2006). Review of clinical experience: B. A. Cunha, Med. Clin. North Am. 79, 817-831 (1995); of pharmacokinetics and pharmacodynamics: M. J. Ryback, Clin. Infect. Dis. 42, S35-S39 (2006).

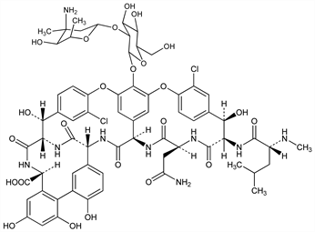
Chemical structure

Derivative

Monohydrochloride.

Nomenclature

CAS number: 1404-93-9
Lyphocin (Fujisawa); Vanco (Bayer); Vancocin (Lilly).
C66H75Cl2N9O24.HCl; mol wt 1485.71.
C 53.36%, H 5.16%, Cl 7.16%, N 8.48%, O 25.85%.

Properties

White solid; uv max (H2O): 282 nm (E1%1cm 40). Soly in water: >100 mg/ml. Moderately sol in dil methanol. Insol in the higher alcohols, acetone, ether. LD50 in mice (mg/kg): 489 i.v.; 1734 i.p.; 5000 s.c.; 5000 orally (Anderson).

Therapeutic Category

Antibacterial.

Therapeutic Category (Veterinary)

Antibacterial.

Keywords

Antibacterial (Antibiotics); Polypeptides