9954. Veratridine

Nomenclature

CAS number: 71-62-5
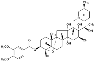
(3β,4α,16β)-4,9-Epoxycevane-3,4,12,14,16,17,20-heptol 3-(3,4-dimethoxybenzoate); 3-veratroylveracevine.
C36H51NO11; mol wt 673.79.
C 64.17%, H 7.63%, N 2.08%, O 26.12%.

Description and references

From seed of Schoenocaulon officinale (Schlecht. & Cham.) A. Gray and also from the rhizome of Veratrum album L. Liliaceae. Can be isolated from commercial veratrine as the sparingly sol nitrate: Blount, J. Chem. Soc. 1935, 122; Vejdelek et al., Chem. Listy 50, 603 (1956); Collect. Czech. Chem. Commun. 22, 98 (1957). Purification and properties: L. C. McKinney et al., Anal. Biochem. 153, 33 (1986). Toxicity studies: O. Krayer et al., J. Pharmacol. Exp. Ther. 82, 167 (1944); K. Tanaka, ibid. 113, 89 (1955); Swiss, Bauer, Proc. Soc. Exp. Biol. Med. 76, 847 (1951). Review of chemistry and structure of veratridine and other Veratrum alkaloids: Kupchan, By, in The Alkaloids vol. 10, R. H. F. Manske, Ed. (Academic Press, New York, 1968) pp 193-285.

Chemical structure

Properties

Yellowish-white, amorphous powder. Tenaciously retains water. mp 180° (after drying at 130°). [α]D20 +8.0° (ethanol). pKa 9.54 ±0.02. Insol in water. Slightly sol in ether. LD50 in mice (mg/kg): 1.35 i.p. (Swiss, Bauer); 0.42 i.v. (Krayer); 6.3 s.c. (Tanaka).

Derivative

Nitrate.

Properties

Amorphous powder, sparingly sol in water.

Derivative

Sulfate.

Properties

Slender needles, very hygroscopic.

Derivative

Perchlorate.

Properties

Long thin needles from water, mp 259-260° (after drying at 120° in vacuo).