9998. Violaxanthin

Nomenclature

CAS number: 126-29-4
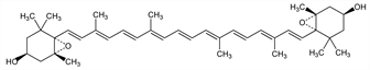
5,6:5′,6′-Diepoxy-5,5′,6,6′-tetrahydro-β,β-carotene-3,3′-diol; zeaxanthin diepoxide.
C40H56O4; mol wt 600.87.
C 79.96%, H 9.39%, O 10.65%.

Description and references

Widely distributed carotenoid pigment. Formed in plants from zeaxanthin. Isoln from yellow pansies (Viola tricolor): Kuhn, Winterstein, Ber. 64, 326 (1931). Structure: Karrer et al., Helv. Chim. Acta 14, 1044 (1931); 16, 977 (1933); 19, 1024 (1936); 27, 1684 (1944). Partial synthesis: Karrer, Jucker, ibid. 28, 300 (1945). Abs config: Bartlett et al., J. Chem. Soc. C 1969, 2527. Isoln from Viola tricolor and configuration of the 15-cis-isomer: P. Molnar, J. Szabolcs, Phytochemistry 19, 623 (1980).

Chemical structure

Properties

Orange prisms from methanol, reddish-brown acicular crystals from CS2. mp 200°. [α]20Cd +35° (c = 0.08 in chloroform). Absorption max (in alc): 471.5, 442.5, 417.5 nm. Sol in alcohol, methanol, carbon disulfide, ether; almost insol in petr ether.

Derivative

15-cis-Isomer.

Properties

Irregular yellow plates from benzene/petrol, mp 109°. uv max (benzene): 479, 448, 423, 337 nm (log ε 4.91, 4.98, 4.83, 4.77). Friction causes crystals to form orange prisms.