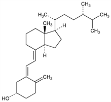
10020. Vitamin D4

Nomenclature

CAS number: 511-28-4
(3β,5Z,7E)-9,10-Secoergosta-5,7,10(19)-trien-3-ol; 22:23-dihydrovitamin D2; 22,23-dihydroergocalciferol.
C28H46O; mol wt 398.66.
C 84.36%, H 11.63%, O 4.01%.

Description and references

Prepd from 22:23-dihydroergosterol by irradiation with light of the magnesium arc: Windaus, Trautmann, Z. Physiol. Chem. 247, 185 (1937). Synthesis: P. J. Kocienski et al., J. Chem. Soc. Perkin Trans. 1 1979, 1290.

Chemical structure

Properties

Platelets from dil acetone, mp 96-98°. Originally given as mp 107-108°, see Windaus, Guntzel, Ann. 538, 122 (1939). [α]D18 +89.3° (c = 0.47 in acetone). uv max: 265 nm. Not precipitated by digitonin. Practically insol in water. Sol in the usual organic solvents except petr ether; slightly sol in vegetable oils.