10089. 1-Xylylazo-2-naphthol

Nomenclature

CAS number: 85-82-5
1-[(2,4-Dimethylphenyl)azo]-2-naphthalenol; C.I. Solvent Orange 7; 1-(2,4-xylylazo)-2-naphthol; FD & C Red no. 32; Oil Red XO; Ext. D & C Red no. 14; C.I. 12140.
C18H16N2O; mol wt 276.33.
C 78.24%, H 5.84%, N 10.14%, O 5.79%.

Description and references

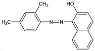
Once reported as 2,5-xylylazo deriv. Prepd by coupling diazotized m-xylidene with 2-naphthol: J. M. Tedder, J. Chem. Soc. 1957, 4003; R. B. Smyth, G. G. McKeown, J. Chromatogr. 5, 395 (1961). Metabolism: J. L. Radomski, J. Pharmacol. Exp. Ther. 136, 378 (1962).

Chemical structure

Properties

Red needles, mp 166°. Insol in water; sol in ethanol, acetone, benzene.