D. B. Dess, J. C. Martin, J. Org. Chem. 48, 4155 (1983).
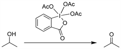
Mild oxidation of primary and secondary alcohols to aldehydes and ketones, respectively, employing the triacetoxyperiodinane (the “Dess-Martin Periodinane” reagent):

Scope and limitations of fluoroalkyl-substituted carbinols as substrates: R. J. Linderman, D. M. Graves, J. Org. Chem. 54, 661 (1989). Methods development: D. B. Dess, J. C. Martin, J. Am. Chem. Soc. 113, 7277 (1991). Application to the synthesis of 2′- and 3′-ketonucleosides: V. Samano, M. J. Robins, J. Org. Chem. 55, 5186 (1990); of substituted oxazoles: P. Wipf, C. P. Miller, ibid. 58, 3604 (1993). See monograph: Dess-Martin Periodinane.