10185. Zoapatanol

Nomenclature

CAS number: 71117-51-6
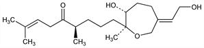
9-[(2S,3R,6E)-3-Hydroxy-6-(2-hydroxyethylidene)-2-methyl-2-oxepanyl]-2,6-dimethyl-2-nonen-5-one.
C20H34O4; mol wt 338.48.
C 70.97%, H 10.12%, O 18.91%.

Description and references

Oxepane diterpenoid isolated from the leaves of the zoapatle plant, Montanoa tomentosa, Compositeae, which has been used by Mexican women to prepare “tea” to induce menses and labor. Isoln and structure: M. P. Wachter, R. M. Kanojia, US 4086358 (1978 to Ortho); S. D. Levine et al., J. Am. Chem. Soc. 101, 3404 (1979); R. M. Kanojia et al., J. Org. Chem. 47, 1310 (1982). Spasmogenic effects: J. B. Smith et al., Life Sci. 28, 2743 (1981). Total syntheses of (±)-form: R. Chen, D. A. Rowand, J. Am. Chem. Soc. 102, 6609 (1980); K. C. Nicolau et al., ibid. 6611; V. V. Kane, D. L. Doyle, Tetrahedron Lett. 22, 3027, 3031 (1981). Mass spec: C. J. Shaw, Org. Mass Spectrom. 16, 281 (1981). 13C-NMR study: M. L. Cotter, Org. Magn. Reson. 17, 14 (1981).

Chemical structure

Properties

Pale yellow oil.