10245. Lubiprostone

Nomenclature

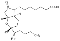
CAS number: 333963-40-9
(11α,15R)-11,15-Epoxy-16,16-difluoro-15-hydroxy-9-oxo-prostan-1-oic acid; 7-[(1R,3R,6R,7R)-3-(1,1-difluoropentyl)-3-hydroxy-2-oxabicyclo[4.3.0]nonane-8-one-7-yl]heptanoic acid; RU-0211; SPI-0211; Amitiza (Sucampo).
C20H32F2O5; mol wt 390.46.
C 61.52%, H 8.26%, F 9.73%, O 20.49%.

Description and references

Prostaglandin E1 derivative that enhances intestinal fluid secretion. Locally activates type 2 chloride channels (ClC-2) on apical surface of intestinal epithelial cells in a protein kinase A-independent manner. Exists in a keto-hemiacetal equilibrium; favors tautomeric bicylic conformation in the absence of water. Prepn: R. Ueno et al., EP 0284180; eidem, US 5284858 (1988, 1994 to K. K. Ueno Seiyaku Oyo Kenkyujo). Mechanism of action: J. Cuppoletti et al., Am. J. Physiol. Cell Physiol. 287, C1173 (2004) DOI. Review of development and clinical experience in chronic constipation: A. Rivkin, L. Chagan, Clin. Ther. 28, 2008-2021 (2006) DOI PubMed; B. E. Lacy, L. Campbell Levy, J. Clin. Gastroenterol. 41, 345-351 (2007) DOI PubMed.

Chemical structure

Properties

White, odorless crystals or crystalline powder. Very sol in ether and ethanol. Practically insol in hexane and water.

Derivative

Monocyclic tautomer.

Nomenclature

CAS number: 136790-76-6
(11α)-16,16-Difluoro-11-hydroxy-9,15-dioxoprostan-1-oic acid; 13,14-dihydro-15-keto-16,16-difluoroprostaglandin E1.

Therapeutic Category

Laxative.

Keywords

Laxative/Cathartic