10291. Nootkatone

Nomenclature

CAS number: 4674-50-4
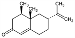
(4R,4aS,6R)-4,4a,5,6,7,8-Hexahydro-4,4a-dimethyl-6-(1-methylethenyl)-2(3H)-naphthalenone; (4R,4aS)-dimethyl-6R-isopropenyl-4,4a,5,6,7,8-hexahydro-3H-naphthalen-2-one; (+)-nootkatone.
C15H22O; mol wt 218.33.
C 82.52%, H 10.16%, O 7.33%.

Description and references

Sesquiterpene ketone; major flavor constituent of grapefruit (Citrus paradisi). Exhibits strong repellant properties against Formosan subterranean termites and other insects. Isoln from heartwood of Alaska yellow cedar, Chamaecyparis nootkatensis: H. Erdtman, Y. Hirose, Acta Chem. Scand. 16, 1311 (1962) DOI; from grapefruit peel and juice: W. D. MacLeod, Jr., N. M Buigues, J. Food Sci. 29, 565 (1964) DOI. Structural characterization: idem, Tetrahedron Lett. 6, 4779 (1965) DOI. Total synthesis of (±)-form: M. Pesaro et al., Chem. Commun. 1968, 1152 DOI; of (+)-form: Y. Takagi et al., Tetrahedron 34, 517 (1978) DOI. Odor threshold and characterization: K. L. Stevens et al., J. Sci. Food Agric. 21, 590 (1970) DOI. Aroma and flavor analysis in grapefruit oil and juice: P. E. Shaw, C. W. Wilson, III, J. Agric. Food Chem. 29, 677 (1981) DOI. Crystal structure: A. M. Sauer et al., Acta Crystallogr. C59, o254 (2003) DOI. Repellent activity vs Formosan subterranean termites: B. C. R. Zhu et al., J. Chem. Ecol. 27, 523 (2001) DOI PubMed. Fragrance monograph: C. S. Letizia et al., Food Chem. Toxicol. 38, Suppl. 3, S165-S167 (2000).

Chemical structure

Properties

Commercial product is a colorless to yellowish liquid with grapefruit taste and odor. Crystals from light petroleum, mp 36-37°. [α]D +195.5° (c = 1.5 in CHCl3). [α]D20 + 170° (c = 0.5 in CHCl3). bp0.5 125°. d25 0.9963. nD20 1.5253. Flash pt (closed cup): 160°F. uv max (ethanol): 237 nm (ε 17000). Sol in alcohol, oil. Practically insol in water. LD50 orally in rats: > 5 g/kg (Letizia).

Derivative

(±)-Form.

Nomenclature

CAS number: 28834-25-5

Properties

Crystals, mp 45-46°.

Use

In beverages to impart grapefruit flavor; in fragrance compositions with other citrus oils.