10331. Botryococcene

Nomenclature

CAS number: 42719-34-6
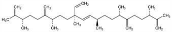
(3S,7S,10S,11E,13R,16S,20S)-10-Ethenyl-2,3,7,10,13,16,20,21-octamethyl-6,17-bis(methylene)-1,11,21-docosatriene; ()-C34-botryococcene.
C34H58; mol wt 466.82.
C 87.48%, H 12.52%.

Description and references

Most abundant member of a family of terpenoid hydrocarbons (botryococcenes) having the general structure CnH2n-10, n=30-37. Produced by the B race of Botryococcus braunii, a common green microalga that has been found in oil-rich geological deposits. Isoln from B. braunii (Kützing): J. R. Maxwell et al., Phytochemistry 7, 2157 (1968) DOI. Structure: R. E. Cox et al., J. Chem. Soc. Chem. Commun. 1973, 284 DOI; of various isomers: P. Metzger et al., Phytochemistry 24, 2995 (1985) DOI. Abs config: J. D. White et al., J. Am. Chem. Soc. 108, 5352 (1986) DOI. Total synthesis: idem et al., ibid. 110, 1624 (1988) DOI. Recovery of hydrocarbons by solvent extraction from algal cultures: J. Frenz et al., Biotechnol. Bioeng. 34, 755 (1989) DOI PubMed. Review of biosynthesis, production methods, and conversion to biofuels: A. Banerjee et al., Crit. Rev. Biotechnol. 22, 245-279 (2002) DOI PubMed.

Chemical structure

Properties

[α]D22 3.5° (c = 6.1 in chloroform).

Derivative

Isobotryococcene.

Nomenclature

CAS number: 11054-04-9
C34H58; mol wt 466.82.
C 87.48%, H 12.52%.

Use

Renewable source of hydrocarbon fuels.