12-00929. Azamethonium Bromide [Archived]

Nomenclature

CAS number: 306-53-6
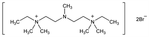
2,2′-(Methylimino)bis[N-ethyl-N,N-dimethylethanaminium]dibromide; [(methylimino)diethylene]bis[ethyldimethylammonium bromide]; 3-methyl-3-azapentane-1,5-bis(ethyldimethylammonium) dibromide; N,N,N′,N′-3-pentamethyl-N,N′-diethyl-3-azapentylene-1,5-diammonium dibromide; pentamethazene dibromide; Prparat 9295; Ciba 9295; Pendiomid (Ciba); Azameton; Azamethone; Pentaméthazène.
C13H33Br2N3; mol wt 391.23.
C 39.91%, H 8.50%, Br 40.85%, N 10.74%.

Description and references

Ganglion blocking agent. Prepd from pentamethyl diethylenetriamine and ethyl bromide: Marxer, Miescher, Helv. Chim. Acta 34, 924 (1951); CH 284212 C.A. 48, 7625 (1954); US 2654785 (1952, 1953 both to Ciba). Pharmacological and toxicity studies: H. J. Bein, R. Meier, Experientia 6, 351 (1950); eidem, Schweiz. Med. Wochenschr. 81, 446 (1951); I. V. Uranov, Farmakol. Toksikol. 21, 110 (1958).

Chemical structure

Properties

Prisms or rhombohedra from alcohol + ethyl acetate, mp 212-215°. Freely sol in water. pH of satd aq soln about 6.5. LD50 in mice (mg/kg): 2500 orally; 60 i.v. (Uranov). LD50 in rabbits (mg/kg): 3000 orally; 160 s.c.; 75 i.v. (Bein, Meier, 1951).

Therapeutic Category

Antihypertensive.

Keywords

Antihypertensive; Quaternary Ammonium Compounds

Status

This monograph has been retired and is no longer subject to revision or update.