12-06000. Metescufylline [Archived]

Nomenclature

CAS number: 15518-82-8
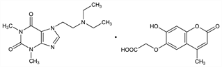
[(7-Hydroxy-4-methyl-2-oxo-2H-1-benzopyran-6-yl)oxy]acetic acid compd with 7-[2-(diethylamino)ethyl]-3,7-dihydro-1,3-dimethyl-1H-purine-2,6-dione (1:1); 7-[2-(diethylamino)ethyl]theophylline compd with [(7-hydroxy-4-methyl-2-oxo-2H-1-benzopyran-6-yl)oxy]acetic acid (1:1); etamiphylline methesculetol; methescufylline; theophylline methesculetol; Veinartan; Venarterin (B.O.I.).
C25H31N5O8; mol wt 529.54.
C 56.70%, H 5.90%, N 13.23%, O 24.17%.

Description and references

Prepn: P. Chabrier et al., FR M1234 (1962 to Lab. Dausse), C.A. 57, 16769f (1962).

Chemical structure

Properties

Crystals, mp 124°. Slightly sol in cold water; freely sol in hot water. Practically insoluble in acetone. LD50 i.v. in mice: 260 mg/kg (Chabrier).

Therapeutic Category

Capillary protectant.

Keywords

Vasoprotectant

Status

This monograph has been retired and is no longer subject to revision or update.