12-06245. Meturedepa [Archived]

Nomenclature

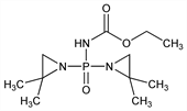
CAS number: 1661-29-6
[Bis(2,2-dimethyl-1-aziridinyl)phosphinyl]carbamic acid ethyl ester; ethyl [bis(2,2-dimethyl-1-aziridinyl)phosphinyl]carbamate; ethyl N-[bis(2,2-dimethylethylenimido)phosphoro]carbamate; AB-132; Turloc (Armour Pharm.).
C11H22N3O3P; mol wt 275.28.
C 47.99%, H 8.06%, N 15.26%, O 17.44%, P 11.25%.

Description and references

Prepn: GB 911764 (1962 to Armour), C.A. 60, 1701h (1964).

Chemical structure

Properties

Crystals, mp 119-121°.

Therapeutic Category

Antineoplastic.

Keywords

Antineoplastic; Alkylating Agents; Aziridines

Status

This monograph has been retired and is no longer subject to revision or update.