12-06808. Nornidulin [Archived]

Nomenclature

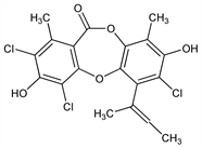
CAS number: 33403-37-1
2,4,7-Trichloro-3,8-dihydroxy-1,9-dimethyl-6-(1-methyl-1-propenyl)-11H-dibenzo[b,e][1,4]dioxepin-11-one; Ustin.
C19H15Cl3O5; mol wt 429.68.
C 53.11%, H 3.52%, Cl 24.75%, O 18.62%.

Description and references

Antibiotic substance produced by Aspergillus ustus: Kurung, Science 102, 11 (1945); Hogeboom, Craig, J. Biol. Chem. 162, 363 (1946); Doering et al., J. Am. Chem. Soc. 68, 725 (1946). Structure: Dean et al., J. Chem. Soc. 1960, 4829; Bycroft et al., ibid. 1963, 5148.

Chemical structure

Properties

Crystals from ether + cyclohexane, mp 185-187°. uv max: 266 nm (ε 8120).

Status

This monograph has been retired and is no longer subject to revision or update.