12-08159. Pyridofylline [Archived]

Nomenclature

CAS number: 53403-97-7
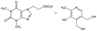
3,7-Dihydro-1,3-dimethyl-7-[2-(sulfooxy)ethyl]-1H-purine-2,6-dione compd with 5-hydroxy-6-methyl-3,4-pyridinedimethanol (1:1); 7-(2-hydroxyethyl)theophylline hydrogen sulfate compound with pyridoxol; β-[1,3-dimethyl-2,6(1H,3H)-purinedion-7-yl]ethyl sulfate of 5-hydroxy-6-methyl-3,4-pyridinedimethanol; pyridoxol compd with 7-(2-hydroxyethyl)theophylline hydrogen sulfate; theophyllineethyl sulfate of pyridoxine; Atherophylline.
C17H23N5O9S; mol wt 473.46.
C 43.13%, H 4.90%, N 14.79%, O 30.41%, S 6.77%.

Description and references

Prepn and therapeutic properties: A. Debarge, FR M828 (1961), C.A. 58, 9098g (1963).

Chemical structure

Properties

Crystals from abs alcohol, mp 144-146°. LD50 in mice (g/kg): 1 i.v.; 1.6 orally (Debarge).

Therapeutic Category

Respiratory stimulant; vasodilator (coronary).

Keywords

Respiratory Stimulant; Vasodilator (Coronary)

Status

This monograph has been retired and is no longer subject to revision or update.