12-08461. Sabadine [Archived]

Nomenclature

CAS number: 124-80-1
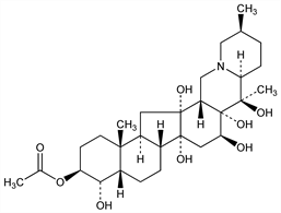
(3β,4α,16β)-Cevane-3,4,12,14,16,17,20-heptol 3-acetate; sabatine.
C29H47NO8; mol wt 537.69.
C 64.78%, H 8.81%, N 2.60%, O 23.80%.

Description and references

Isolated from Sabadilla seed: Merck, Arch. Pharm. 229, 164 (1891); Hennig et al., J. Am. Pharm. Assoc. 40, 168 (1951). Structure: Auterhoff, Schwartz, Arch. Pharm. 288, 549 (1955); Mhrle, Auterhoff, ibid. 292, 337 (1959); Kupchan et al., J. Med. Pharm. Chem. 5, 690 (1962). NMR data: Ito et al., Tetrahedron 20, 913 (1964).

Chemical structure

Properties

Prisms, mp 256-258° (dec). [α]D25 11° (c = 1.93 in alc).

Status

This monograph has been retired and is no longer subject to revision or update.