12-10111. Vicianose [Archived]

Nomenclature

CAS number: 14116-69-9
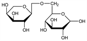
6-O-α-l-Arabinopyranosyl-d-glucose; 6-(α-l-arabinosido)-d-glucose.
C11H20O10; mol wt 312.27.
C 42.31%, H 6.46%, O 51.24%.

Description and references

By enzymatic hydrolysis of vicianin, gein, and violutin: Bertrand, Weisweiller, Compt. Rend. 150, 181 (1910); Bull. Soc. Chim. [4] 9, 38 (1911). Synthesis: Helferich, Bredereck, Ann. 465, 166 (1928); Wallenfels, Beck, Ann. 630, 46 (1960).

Chemical structure

Properties

Needles from 75% alc, dec 210°. Weak sweetish taste. Shows mutarotation. [α]D20 +63° →+40° (22 hrs, c = 8). Very sol in water, practically insol in abs alc. Reduces Fehling's soln somewhat more than maltose.

Status

This monograph has been retired and is no longer subject to revision or update.