D. A. Evans et al., J. Am. Chem. Soc. 101, 6120 (1979); 103, 2127 (1981).
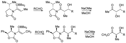
Highly enantioselective aldol condensation of the chiral N-acyl-oxazolidone via its dibutylboryl enolate with the appropriate aldehyde:

Mechanistic studies: D. A. Evans et al., J. Am. Chem. Soc. 103, 3099 (1981). Synthetic applications: C. W. Phoon, C. Abell, Tetrahedron Lett. 39, 2655 (1998); C. Pearson et al., ibid. 40, 411 (1999). Inversion of product stereochemistry: K. Iseki et al., ibid. 34, 8147 (1993); T. Gabriel, L. Wessjohann, ibid. 38, 4387 (1997). Review: D. A. Evans, Aldrichim. Acta 15, 23-32 (1982); B. M. Kim et al., Comp. Org. Syn. 2, 239-275 (1991). Cf. Aldol Condensation, Mukaiyama Aldol Reaction.