13-00613. Amylene Dichloride [Archived]

Nomenclature

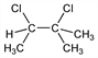
CAS number: 507-45-9
2,3-Dichloro-2-methylbutane; tert-amylene dichloride; trimethylethylene dichloride.
C5H10Cl2; mol wt 141.04.
C 42.58%, H 7.15%, Cl 50.27%.

Description and references

Prepd from trimethylethylene (2-methyl-2-butene) by treatment with Cl2 or SO2Cl2: DE 251100 (1911); DE 258555 (1912); from neopentyl iodide and chlorine: Beringer, Schultz, J. Am. Chem. Soc. 77, 5533 (1955).

Chemical structure

Derivative

dl-Form.

Properties

Liquid. d415 1.0696. bp760 138°; bp20 37°. nD18 1.4450. Insol in water. Sol in alcohol, ether.

Status

This monograph has been retired and is no longer subject to revision or update.