13-02103. Chlorfenac [Archived]

Nomenclature

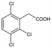
CAS number: 85-34-7
2,3,6-Trichlorobenzeneacetic acid; 2,3,6-trichlorophenylacetic acid; Fenac; Tri-Fene (Tenneco).
C8H5Cl3O2; mol wt 239.48.
C 40.12%, H 2.10%, Cl 44.41%, O 13.36%.

Description and references

Prepd by conversion of 2,3,6-trichlorotoluene to the benzyl chloride, the benzyl cyanide, then hydrolysis: GB 860310 (1961 to Hooker). Toxicity study: G. W. Bailey, J. L. White, Residue Rev. 10, 97 (1965).

Chemical structure

Properties

Crystals from benzene, mp 161°. Sol in acetone, alcohol, ether. Practically insol in water. LD50 orally in rats: 3000 mg/kg (Bailey, White).

Use

Herbicide.

Status

This monograph has been retired and is no longer subject to revision or update.