13-02107. Chlorhexadol [Archived]

Nomenclature

CAS number: 3563-58-4
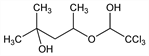
2-Methyl-4-(2,2,2-trichloro-1-hydroxyethoxy)-2-pentanol; 2-methyl-2-hydroxy-4-(2,2,2-trichloro-1-hydroxyethoxy)pentane; 2-hydroxy-2-methyl-4-(2,2,2-trichloro-1-hydroxyethoxy)pentane; Chloralodol; Lora (formerly) (Wallace Labs.); Mecoral; Medodorm (Medo).
C8H15Cl3O3; mol wt 265.56.
C 36.18%, H 5.69%, Cl 40.05%, O 18.07%.

Description and references

Prepd from chloral and 2-methyl-2,4-pentanediol: Christensen, US 2931838 (1960 to Danske Medicinal).

Chemical structure

Properties

Crystals, slightly bitter taste, mp 102-104°. Readily sol in alcohol, chloroform; moderately sol in ether; slightly sol in CCl4. Hydrolyzes in aq soln.

Note

This is a controlled substance (depressant): 21 CFR, 1308.13.

Therapeutic Category

Hypnotic.

Keywords

Sedative/Hypnotic; Alcohols

Status

This monograph has been retired and is no longer subject to revision or update.