13-04283. Fosthietan [Archived]

Nomenclature

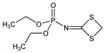
CAS number: 21548-32-3
1,3-Dithietan-2-ylidenephosphoramidic acid diethyl ester; phosphonodithioimidocarbonic acid cyclic methylene P,P-diethyl ester; 2-(diethoxyphosphinylimino)-1,3-dithietane; AC-64475; CL-64475; Nem-A-Tak.
C6H12NO3PS2; mol wt 241.27.
C 29.87%, H 5.01%, N 5.81%, O 19.89%, P 12.84%, S 26.58%.

Description and references

Prepn: R. W. Addor, ZA 6801064; idem, US 3470207 (1968, 1969 both to Am. Cyanamid); idem, J. Heterocycl. Chem. 7, 381 (1970). Activity: W. K. Whitney, J. L. Aston, Proc. Brit. Insectic. Fungic. Conf. 2, 625 (1975).

Chemical structure

Properties

Pale yellow oil, mercaptan-like odor. nD25 1.5348; d25 1.3. Vapor press at 25°: 6.5 × 106 mm Hg. Soly in water at 25°: 50 g/kg. Sol in acetone, chloroform, methanol, toluene. LD50 in rats, mice (mg/kg): 5, 18 orally (Whitney, Aston).

Use

Nematocide; insecticide.

Status

This monograph has been retired and is no longer subject to revision or update.