13-04671. Hepaxanthin [Archived]

Nomenclature

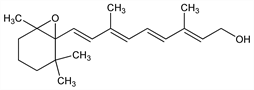
CAS number: 512-39-0
5,6-Epoxy-5,6-dihydroretinol; 5,6-monoepoxyvitamin A; vitamin A epoxide; 574-chromogen.
C20H30O2; mol wt 302.45.
C 79.42%, H 10.00%, O 10.58%.

Description and references

Isoln from cod liver oil and formation from vitamin A: Karrer, Jucker, Helv. Chim. Acta 28, 717 (1945); 30, 559 (1947). Prepn and properties: Jungalwala, Cama, Biochem. J. 95, 17 (1965). See also Lakshmanan et al., ibid. 27; Tsukida et al., J. Vitaminol. 14, 95 (1968).

Chemical structure

Properties

Viscous yellow oil. uv max (ethanol): 272 nm. Freely sol in chloroform, ether, benzene. Moderately sol in alcohol. Slightly sol in petr ether.

Status

This monograph has been retired and is no longer subject to revision or update.