13-05771. Mannomustine [Archived]

Nomenclature

CAS number: 551-74-6
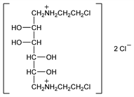
1,6-Bis(2-chloroethylamino)-1,6-dideoxy-d-mannitol dihydrochloride; 1,6-dideoxy-1,6-di(2-chloroethylamino)-d-mannitol dihydrochloride; 1,6-di(2-chloroethylamino)-1,6-dideoxy-d-mannitol dihydrochloride; mannitol nitrogen mustard; BCM; Degranol.
C10H24Cl4N2O4; mol wt 378.12.
C 31.76%, H 6.40%, Cl 37.50%, N 7.41%, O 16.93%.

Description and references

Prepn: Vargha et al., J. Chem. Soc. 1957, 805. Toxicity: Scherf et al., Arzneim.-Forsch. 20, 1467 (1970).

Chemical structure

Properties

Crystals from 80% ethanol, dec 239-241°. [α]D20 +18.46° (c = 1.81 in H2O). (Free base, crystals, dec 278°). Sol in water; slightly sol in ethanol. Aq solns are mildly acidic and stable at room temps. Claimed to be considerably less toxic than mechlorethamine. LD50 i.v. in rats: 56 mg/kg (Scherf).

Therapeutic Category

Antineoplastic.

Keywords

Antineoplastic; Alkylating Agents; Nitrogen Mustards

Status

This monograph has been retired and is no longer subject to revision or update.