13-08621. Sintropium Bromide [Archived]

Nomenclature

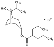
CAS number: 79467-19-9
(3-endo,8-syn)-8-Methyl-8-(1-methylethyl)-3-[(1-oxo-2-propylpentyl)oxy]-8-azoniabicyclo[3.2.1]octane bromide; (8r)-3α-hydroxy-8-isopropyl-1αH,5αH-tropanium bromide 2-propylvalerate; endo-8-methyl-8-syn-(1-methyl)ethyl-8-azoniabicyclo[3.2.1.]octane-3-(2-propyl)-pentanoate bromide; VAL-480; VAL-4000.
C19H36BrNO2; mol wt 390.40.
C 58.45%, H 9.29%, Br 20.47%, N 3.59%, O 8.20%.

Description and references

Prepn: V. Bernareggi et al., EP 42365; eidem, US 4411902 (1981, 1983 both to Valeas). Clinical trial: M. Galeone, Minerva Med. 76, 1605 (1985); V. Colosi et al., Minerva Urol. Nefrol. 38, 271 (1986).

Chemical structure

Properties

mp >280° (dec). LD50 i.p. in male mice: 77 mg/kg (Bernareggi).

Therapeutic Category

Antispasmodic.

Keywords

Antispasmodic

Status

This monograph has been retired and is no longer subject to revision or update.