13-09396. Thiocarbamizine [Archived]

Nomenclature

CAS number: 91-71-4
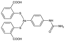
2,2′-[[[4-[(Aminocarbonyl)amino]phenyl]arsinidene]bis(thio)]bis[benzoic acid]; (p-ureidophenylarsylenedithio)di-o-benzoic acid; (p-ureidobenzenearsylenedithio)di-o-benzoic acid; 4-carbamidophenyl bis[o-carboxyphenylthio]arsenite; bis[o-carboxyphenylmercapto](p-ureidophenyl)arsine; thiocarbamisin.
C21H17AsN2O5S2; mol wt 516.42.
C 48.84%, H 3.32%, As 14.51%, N 5.42%, O 15.49%, S 12.42%.

Description and references

Prepd by heating o-HSC6H4COOH and Carbarsone oxide in aq alkali, purified by repeated precipitation with acid and dissolving in alkali: Rohrmann, US 2516831 (1950 to Lilly). Compare Arsenamide, Thiocarbarsone, Carbarsone.

Chemical structure

Properties

White, cryst powder. Sparingly sol in water, alcohols. Insol in acids. Freely sol in dil alkali [see Arsenamide].

Therapeutic Category

Antiamebic.

Keywords

Antiamebic

Status

This monograph has been retired and is no longer subject to revision or update.