E. Fischer, Ber. 17, 579 (1884).
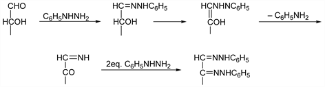
Formation of phenylhydrazones and osazones by heating sugars with phenylhydrazine in dilute acetic acid:

E. G. V. Percival, Adv. Carbohydr. Chem. 3, 23 (1948); F. Micheel, Chemie der Zucker und Polysaccharide (Leipzig, 1956) p 54; W. Pigman, The Carbohydrates 1957, 452, 455; H. Simon et al., Fortschr. Chem. Forsch. 14, 451 (1970).