L. Gattermann, Ber. 31, 1149 (1898); Ann. 313, (1907).
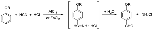
Preparation of phenolic aldehydes, phenol ethers or heterocyclic compounds by treatment of the aromatic substrate with hydrogen cyanide and hydrogen chloride in the presence of Lewis acid catalysts:

W. E. Truce, Org. React. 9, 37 (1957); E. Baltazzi, L. I. Krimen, Chem. Rev. 63, 526 (1963); F. M. Aslam et al., J. Chem. Soc. Perkin Trans. 1 1972, 892; Y. Sato et al., J. Am. Chem. Soc. 117, 3037 (1995). Cf. Houben-Hoesch Reaction; Reimer-Tiemann Reaction.