M. Gomberg, W. E. Bachmann, J. Am. Chem. Soc. 46, 2339 (1924).
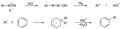
Alkali dependent formation of diaryl compounds from aryl diazonium salts and aromatic compounds.

W. E. Bachmann, R. A. Hoffman, Org. React. 2, 224 (1944); O. C. Dermer, M. T. Edmison, Chem. Rev. 57, 77 (1957); D. H. Hey, Adv. Free-Radical Chem. 2, 47 (1966); D. E. Rosenberg, et al., Tetrahedron Lett. 21, 4141 (1980); J. R. Beadle et al., J. Org. Chem. 49, 1594 (1984); T. C. McKenzie, S. M. Rolfes, J. Heterocycl. Chem. 24, 859 (1987); M. Gurczynski, P. Tomasik, Org. Prep. Proced. Int. 23, 438 (1991). For intramolecular version, see Pschorr Reaction.