J. M. Buccigross et al., Aust. J. Chem. 48, 353 (1995); J. M. Buccigross, S. A. Glover, J. Chem. Soc. Perkin Trans. 2 1995, 595.
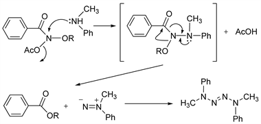
Rearrangement of N-alkoxy-N-aminoamides to esters and 1,1-diazenes via migration of oxygen from the nitrogen to the carbonyl carbon. Analogues of N,N′-diacyl-N,N′-dialkoxyhydrazines thermally decompose to esters and N2 through two consecutive rearrangements:

Application to N,N′-diacyl-N,N′-dialkoxyhydrazines: S. A. Glover et al., J. Chem. Soc. Perkin Trans. 2 1999, 2053; to mutagenic N-acyloxy-N-alkoxybenzamides: J. J. Campbell, S. A. Glover, J. Chem. Res. 1999, 474. Stereochemistry and computational studies: A. Rauk, S. A. Glover, J. Org. Chem. 61, 2337 (1996); eidem, ibid. 64, 2340 (1999). Review: S. A. Glover, Tetrahedron 54, 7229-7272 (1998); idem et al., Can. J. Chem. 83, 1492-1509 (2005).