A. W. Hofmann, Ber. 14, 659 (1881).
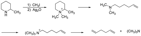
Formation of an olefin and a tertiary amine by pyrolysis of a quaternary ammonium hydroxide:

A. C. Cope, E. R. Trumbull, Org. React. 11, 317-493 passim (1960); K. W. Bentley, G. W. Kirby in Techniques of Organic Chemistry vol. IV, Pt. 2, A. Weissberger, Ed., Elucidation of Organic Structures by Physical and Chemical Methods (Wiley, New York, 2nd ed., 1973) pp 255-289. Isotope effects: R. D. Bach, M. L. Braden, J. Org. Chem. 56, 7194 (1991). Synthetic applications: A. D. Woolhouse et al., J. Heterocycl. Chem. 30, 873 (1993); D. Berkes et al., Synth. Commun. 28, 949 (1998). Cf. Cope Elimination Reaction; Emde Degradation.