A. W. Hofmann, C. A. Martius, Ber. 4, 742 (1871); A. W. Hofmann, ibid. 5, 720 (1872).
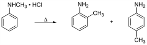
Thermal conversion of N-alkylaniline hydrohalides to o- and p-alkylanilines:

H. Hart, J. R. Kosak, J. Org. Chem. 27, 116 (1962); Y. Ogata et al., Tetrahedron 20, 2717 (1964); J. Org. Chem. 35, 1642 (1970); G. F. Grillot in Mechanisms of Molecular Migrations vol. 3, B. S. Thyagarajan, Ed. (Wiley, New York, 1971) p 237; A. G. Giumanini et al., J. Org. Chem. 40, 1677 (1975); W. F. Burgoyne, D. D. Dixon, J. Mol. Catal. 62, 61 (1990); M. G. Siskos et al., Bull. Soc. Chim. Belg. 105, 759 (1996).