K. A. Hofmann, J. Sand, Ber. 33, 1340, 1353 (1900).
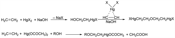
Olefin mercuration with mercuric salts (halides, acetates, nitrates, or sulfates) in aqueous solution. In alcoholic solutions the accelerated reaction produces alkoxyalkyl compounds:

J. Sand, Ber. 34, 1385, 2906, 2910 (1901); Ann. 329, 135 (1903); J. Chatt, Chem. Rev. 48, 7 (1951); E. R. Rochow et al., Chemistry of Organometallic Compounds (New York, 1957) p 109; W. Kitching, Organomet. Chem. Rev. 3, 35 (1968); K. P. Geller, H. Straub, Houben-Weyl 13/2b, 130 (1974).