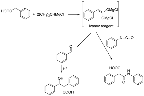
D. Ivanov, A. Spassoff, Bull. Soc. Chim. Fr. 49, 19, 375 (1931); D. Ivanov et al., ibid. 51, 1321, 1325, 1331 (1932).
The addition of enediolates of aryl acetic acids (Ivanov reagents) to electrophiles, particularly carbonyl compounds:

Early reviews: B. Blagoev, D. Ivanov, Synthesis 1970, 615; D. Ivanov et al., ibid. 1975, 83. Synthetic application: Y. A. Zhdanov et al., Carbohydr. Res. 29, 274 (1973). Kinetic and mechanistic study: J. Toullec et al., J. Org. Chem. 50, 2563 (1985). Stereoselectivity: M. Mladenova et al., Tetrahedron 37, 2157 (1981); M. Momtchev et al., Bull. Soc. Chim. Fr. 5, 844 (1985). Cf. Aldol Reaction; Knoevenagel Condensation.