O. Jacobsen, Ber. 19, 1209 (1886); 20, 901 (1887).
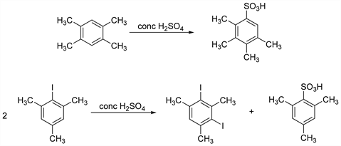
Reaction of polymethylbenzenes with concentrated sulfuric acid to give rearranged polymethylbenzenesulfonic acids. Under identical conditions halogenated polymethylbenzenes undergo disproportionation:

L. I. Smith, Org. React. 1, 370 (1942); H. Suzuki et al., Bull. Chem. Soc. Jpn. 36, 1642 (1963); A. Koeberg-Telder, H. Cerfontain, J. Chem. Soc. Perkin Trans. 2 1977, 717; M. Nakada et al., Bull. Chem. Soc. Jpn. 52, 3671 (1979). Mechanism: J. L. Norula, R. P. Gupta, Chem. Era 10, 7 (1974). ZrCl4 catalysis: E. Solari et al., Angew. Chem. Int. Ed. 34, 1510 (1995).