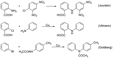
F. Jourdan, Ber. 18, 1444 (1885); F. Ullmann, ibid. 36, 2382 (1903); I. Goldberg, ibid. 39, 1691 (1906); 40, 4541 (1907).
Synthesis of substituted diphenylamines, useful as intermediates in the synthesis of acridones:

Reviews: R. M. Acheson, Acridines (Interscience, New York, 1956) p 148; Schulenberg, Archer, Org. React. 14, 19 (1965).