A. Ladenburg, Ber. 16, 410 (1883); Ann. 247, 1 (1888).
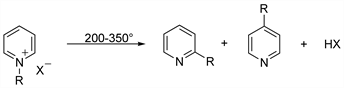
Thermal rearrangement of an alkyl- or benzylpyridinium halide to an alkyl- or benzylpyridine:

J. H. Brewster, E. L. Eliel, Org. React. 7, 135 (1953); L. E. Tenenbau in Pyridine and Its Derivatives Pt. 2, E. Klingsberg, Ed. (Interscience, New York, 1961) p 163.