K. Lehmstedt, Ber. 65, 834 (1932); I. Tanasescu, Bull. Soc. Chim. Fr. 41, 528 (1927).
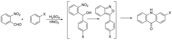
Preparation of acridones (and 10-hydroxyacridones) from o-nitrobenzaldehyde and a halobenzene in the presence of concentrated sulfuric acid containing nitrous acid as catalyst:

I. Tanasescu, Z. Frenkel, ibid. 1960, 693. Mechanism: Silberg, Frenkel, Rev. Roum. Chim. 10, 1035 (1965).