C. A. Lobry de Bruyn, Rec. Trav. Chim. 14, 150 (1895); C. A. Lobry de Bruyn, W. A. van Ekenstein, ibid. 195, 203; 16, 262 (1897).
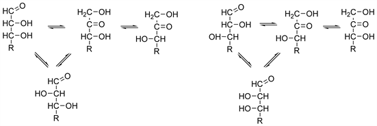
Isomerization of carbohydrates in alkaline media, considered to embrace both epimerization of aldoses and ketoses and aldose-ketose interconversion:

Reviews: Evans, Chem. Rev. 31, 544 (1942); Sattler, Adv. Carbohydr. Chem. 3, 113 (1948); Pigman, The Carbohydrates (Academic Press, New York, 1957) p 60; Speck, Adv. Carbohydr. Chem. 13, 63 (1958); Schaffer, J. Org. Chem. 29, 1473 (1964); M. H. Johansson, O. Samuelson, Chem. Scr. 9, 151 (1976). Synthetic applications: P. Kll, G. Papert, Ann. 1986, 1568; B. Sauerbrei et al., Carbohydr. Res. 280, 223 (1996); P. Sedmera et al., J. Carbohydr. Chem. 17, 1351 (1998). Mechanistic study: B. M. Kabyemela et al., Ind. Eng. Chem. Res. 38, 2888 (1999).