A. Guyot, J. Martinet, Compt. Rend. 156, 1625 (1913).
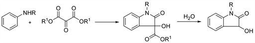
Formation of derivatives of dioxindole from esters of mesoxalic acid and aromatic amines or amino quinolines:

J. Martinet, ibid. 166, 851, 998 (1918); Ann. Chim. [9] 11, 85 (1919); W. Langenbeck et al., Ann. 499, 201 (1932); 512, 276 (1934); W. C. Sumpter, Chem. Rev. 37, 472 (1945); P. L. Julian et al., Heterocycl. Compd. 3, 239 (1952).