J. E. McMurry, M. P. Fleming, J. Am. Chem. Soc. 96, 4708 (1974); S. Tyrlik, I. Wolochowicz, Bull. Soc. Chim. Fr. 1973, 2147; T. Mukaiyama et al., Chem. Lett. 1973, 1041.
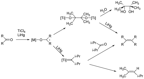
Deoxygenative coupling of carbonyl compounds to alkenes induced by low-valent titanium:

Synthetic application: A. Fürstner, D. N. Jumbam, Tetrahedron 48, 5991 (1992); M. Rucker, R. Brückner, Tetrahedron Lett. 38, 7353 (1997); P. Harter et al., Polyhedron 17, 1141 (1998). Modified conditions: T. A. Lipski et al., J. Org. Chem. 62, 4566 (1997); S. Talukdar et al., ibid. 63, 4925 (1998). Reviews: J. E. McMurry, Chem. Rev. 89, 1513-1524 (1989); G. M. Robertson, Comp. Org. Syn. 3, 583-595 (1991); T. Lectka, Act. Met. 1996, 85-131; M. Ephritikhine, Chem. Commun. 23, 2549-2554 (1998). Cf. Barton Olefin Synthesis.