S. S. Nametkin, Ann. 432, 207 (1923).
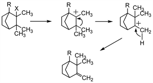
A special case of carbonium ion rearrangement in camphene hydrochloride derivatives involving the migration of a methyl group:

H. Henecka, Houben-Weyl 4/2, 16 (1955); P. S. Moervs et al., J. Am. Chem. Soc. 100, 260 (1978). Cf. Retropinacol Rearrangement; Wagner-Meerwein Rearrangement.