W. H. Perkin, Jr., Ber. 16, 1793 (1883).
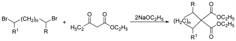
Synthesis of alicyclic compounds from α,ω-dihaloalkanes and compounds containing active methylene groups in the presence of sodium ethoxide:

H. O. House, Modern Synthetic Reactions (W. A. Benjamin, Inc., Menlo Park, California, 2nd ed, 1972) pp 492-570. Cf. Malonic Ester Syntheses.