W. Pfitzinger, J. Prakt. Chem. [2] 33, 100 (1886); 38, 582 (1888).
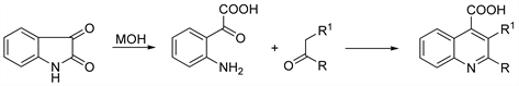
Formation of quinoline-4-carboxylic acids by condensation of isatic acids from isatin with α-methylene carbonyl compounds:

C. Hollins, The Synthesis of Nitrogen Ring Compounds (London, 1924) p 286; R. H. Manske, Chem. Rev. 30, 126 (1942); F. W. Bergstrom, ibid. 35, 152 (1944); R. C. Elderfield, Heterocycl. Compd. 4, 47 (1952); N. P. Buu-Hoi et al., Bull. Soc. Chim. Fr. 1968, 2476; M. H. Palmer, P. S. McIntyre, J. Chem. Soc. B 1969, 539. Review: M. G.-A. Shvekhgeimer, Chem. Heterocycl. Compd. 40, 257-294 (2004). Cf. Friedlaender Synthesis; Niementowski Quinoline Synthesis.