A. Pinner, Ber. 23, 2919 (1890).
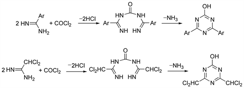
Preparation of 2-hydroxy-4,6-diaryl-s-triazines by reaction of aryl amidines and phosgene. The reaction may be extended to halogenated aliphatic amidines:

A. Pinner, Ber. 25, 1414 (1892); 28, 483 (1895); J. Ephraim, ibid. 26, 2226 (1893); P. Flatow, ibid. 30, 2006 (1897); T. Rappaport, ibid. 34, 1990 (1901); H. Schroeder, C. Grundmann, J. Am. Chem. Soc. 78, 2447 (1956); E. M. Smolin, L. Rapoport, The Chemistry of Heterocyclic Compounds, A. Weissberger, Ed., s-Triazines and Derivatives (Interscience, New York, 1959) p 186.