C. Pomeranz, Monatsh. Chem. 14, 116 (1893); P. Fritsch, Ber. 26, 419 (1893); E. Schlittler, J. Müller, Helv. Chim. Acta 31, 914, 1119 (1948).
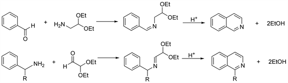
Formation of isoquinolines by the acid-catalyzed cyclization of benzalaminoacetals prepared from aromatic aldehydes and aminoacetal; in the Schlittler-Müller modification the starting materials are benzyl amines and glyoxal semiacetal:

M. J. Bevis et al., Tetrahedron 27, 1253 (1971); E. V. Brown, J. Org. Chem. 42, 3208 (1977); R. Hirsenkorn, Tetrahedron Lett. 32, 1775 (1991). Reviews: W. J. Gensler, Org. React. 6, 191 (1951); idem, Heterocycl. Compd. 4, 368 (1952); J. M. Bobbit, A. J. Bourque, Heterocycles 25, 601-614 (1987).